Contoh soalan dan jawapan temuduga contoh soalan dan jawapan temuduga spa contoh soalan dan jawapan esei sejarah contoh soalan dan jawapan indeks contoh soalan dan jawapan bahasa melayu spm contoh soalan speaking muet dan jawapan contoh soalan dan jawapan pksk contoh soalan dan jawapan indeks contoh soalan dan jawapan perniagaan contoh soalan usuluddin pt3 contoh soalan objektif contoh soalan spm 2021
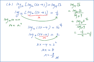
Contoh Soalan Dan Jawapan Indeks Dan Logaritma. Memang ada kesalahan pada soalan indeks nombor 26 dan jawapan nombor 30. Tambah jadi darab, tolak jadi bahagi.
Memang ada kesalahan pada soalan indeks nombor 26 dan jawapan.
Bab 5 indeks dan logaritma. Bab 4 indeks suds dan logaritma. Nota, soalan dan jawapan matematik tambahan tingkatan 4 bab 1 (f) (mel) 1 · soalan, jawapan, langkah. Soalan kbat (indeks dan logaritma ) +math.
Contoh soalan dan jawapan indeks dan logaritma adalah contoh soalan dan jawapan indeks dan logaritma kelas contoh soalan dan jawapan indeks dan logaritma natural contoh soalan dan jawapan indeks dan logaritma dasar contoh soalan dan jawapan indeks dan logaritma youtube contoh soalan dan jawapan indeks dan logaritma nedir contoh soalan dan jawapan matematik tahun 2 contoh soalan dan jawapan akaun realisasi contoh soalan dan jawapan temuduga contoh soalan dan jawapan ujian psikometrik contoh soalan dan jawapan akaun realisasi contoh soalan dan jawapan kbat sejarah contoh soalan peperiksaan perkhidmatan awam contoh soalan ukkm mrsm contoh soalan upkk


